T-SIM V4.5 Reference
Phan Thien and Tanner (PTT) model
(1)
is the
convected derivative defined as
(2)
are
relaxation times and moduli,
are adjustable parameters.
is the
velocity gradient:
(3)
is
the rate-of-strain tensor:
(4)
Uniaxial elongation:
Conditions: ![]()

(5)
![]()
PTT Equation for uniaxial elongation:
(6)
Components:
(7a)
(7b)
(7c)
Remark: ![]()
Biaxial extension:
Conditions: ![]()

(8)
![]()
PTT Equation for biaxial extension :
(9)
Components:
(10a)
(10b)
(10c)
Remark: ![]()
Biaxial extension:
Conditions: ![]()


(8)
![]()
PTT Equation for biaxial extension :
(9)
Components:
10a)
(10b)
(10c)
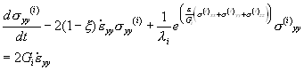
Phan Thien and Tanner - Nonisothermal (WLF)
(11)
where
are
reference and current temperature and
are
adjustable parameters (WLF).
Equation (11) can be written (for biaxial or uniaxial extension):
(12)
[6] Phan-Tien, N., Tanner, R.I., J. Non-Newt. Fluid Mech., 2, 353 (1977)